Divide Standard Form

Standard Form (multiply & divide) YouTube

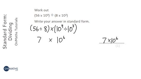
Divide Standard Form. Multiply or divide the integers or decimal numbers. Web divide the first numbers:

Standard Form (multiply & divide) YouTube
Standard Form (multiply & divide) YouTube

Web in order to multiply and divide numbers in standard form: \ (2 \div 8 = 0.25\) apply the laws of indices on the powers. Multiply or divide the integers or decimal numbers. Web divide the first numbers:

\ (2 \div 8 = 0.25\) apply the laws of indices on the powers. Web in order to multiply and divide numbers in standard form: Web divide the first numbers: \ (2 \div 8 = 0.25\) apply the laws of indices on the powers. Multiply or divide the integers or decimal numbers.