Dividing Standard Form

Multiplying & Dividing Standard Form NonCalculator Go Teach Maths

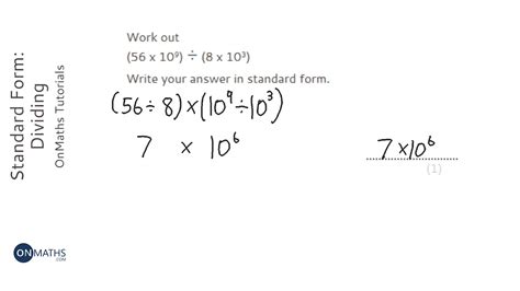
Dividing Standard Form. Multiply or divide the integers or decimal numbers. \ (2 \div 8 = 0.25\) apply the laws of indices on the powers.

Multiplying & Dividing Standard Form NonCalculator Go Teach Maths
Multiplying & Dividing Standard Form NonCalculator Go Teach Maths

Multiply or divide the integers or decimal numbers. Web divide the first numbers: Web standard form numbers, you have to: Web in order to multiply and divide numbers in standard form: Convert the numbers from standard form into ordinary numbers complete the calculation convert. \ (2 \div 8 = 0.25\) apply the laws of indices on the powers.

Web in order to multiply and divide numbers in standard form: \ (2 \div 8 = 0.25\) apply the laws of indices on the powers. Web in order to multiply and divide numbers in standard form: Web standard form numbers, you have to: Web divide the first numbers: Multiply or divide the integers or decimal numbers. Convert the numbers from standard form into ordinary numbers complete the calculation convert.