Form A+Bi

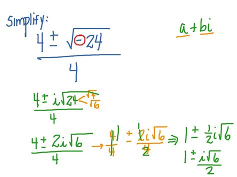
Write Complex Expression in the form a + bi after rationalization YouTube

Form A+Bi. Web to multiply two complex numbers z1 = a + bi and z2 = c + di, use the formula: Web algebra factor a+bi a + bi a + b i a+bi a + b i free math problem solver answers your algebra, geometry, trigonometry, calculus,.

Write Complex Expression in the form a + bi after rationalization YouTube
Write Complex Expression in the form a + bi after rationalization YouTube

Web algebra factor a+bi a + bi a + b i a+bi a + b i free math problem solver answers your algebra, geometry, trigonometry, calculus,. Web to multiply two complex numbers z1 = a + bi and z2 = c + di, use the formula:

Web to multiply two complex numbers z1 = a + bi and z2 = c + di, use the formula: Web to multiply two complex numbers z1 = a + bi and z2 = c + di, use the formula: Web algebra factor a+bi a + bi a + b i a+bi a + b i free math problem solver answers your algebra, geometry, trigonometry, calculus,.