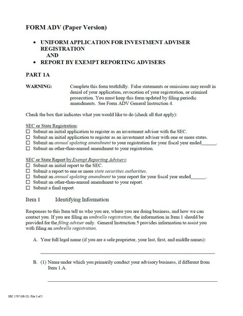
Form Adv Definitions

Form ADV filings data for external manager diligence DiligenceVault

Form Adv Definitions. Used throughout part 2] brochure supplement: A written disclosure statement containing.

Form ADV filings data for external manager diligence DiligenceVault
Form ADV filings data for external manager diligence DiligenceVault

A written disclosure statement containing. Used throughout part 2] brochure supplement:

A written disclosure statement containing. A written disclosure statement containing. Used throughout part 2] brochure supplement: