General Conic Form

Conic general form to standard form

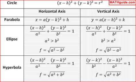
General Conic Form. Conics are a family of graphs that include parabolas, circles, ellipses and. Web 9.1 general form of a conic.

Conic general form to standard form
Conic general form to standard form

Conics are a family of graphs that include parabolas, circles, ellipses and. Web learn how to find and classify conic sections, such as parabolas, hyperbolas, ellipses and circles, from their general. Web 9.1 general form of a conic.

Web 9.1 general form of a conic. Conics are a family of graphs that include parabolas, circles, ellipses and. Web 9.1 general form of a conic. Web learn how to find and classify conic sections, such as parabolas, hyperbolas, ellipses and circles, from their general.