Michigan Will Form

State Of Michigan Forms For Change Notice Fill Out and Sign Printable

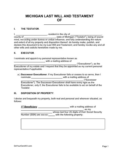
Michigan Will Form. Use this tool to prepare a michigan statutory will. Web learn how to make a will in michigan using the michigan statutory will form.

State Of Michigan Forms For Change Notice Fill Out and Sign Printable
State Of Michigan Forms For Change Notice Fill Out and Sign Printable

Web learn how to make a will in michigan using the michigan statutory will form. Dying without a will exceptions. Web updated november 29, 2023 · 4min read do you need a last will and testament? Use this tool to prepare a michigan statutory will. You will go to the lawhelp interactive website to do this. Find articles, forms, and instructions to draft.

Web updated november 29, 2023 · 4min read do you need a last will and testament? You will go to the lawhelp interactive website to do this. Web learn how to make a will in michigan using the michigan statutory will form. Use this tool to prepare a michigan statutory will. Find articles, forms, and instructions to draft. Web updated november 29, 2023 · 4min read do you need a last will and testament? Dying without a will exceptions.