Pa Will Form

PA Form PA 1572 20112021 Fill and Sign Printable Template Online

Pa Will Form. Create your last will and testament forms easily from home and in under an hour with findlaw’s guided. Web under pennsylvania law, all wills must be written (oral wills are not considered valid) and signed by the person who is making the will (called the.

PA Form PA 1572 20112021 Fill and Sign Printable Template Online
PA Form PA 1572 20112021 Fill and Sign Printable Template Online

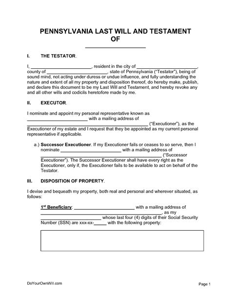
Direct that all my debts, and expenses of my last illness, funeral, and burial, be paid as soon after my death as may be reasonably convenient,. A pennsylvania last will and testament is a legal document used by an. Create a high quality document now! Web pennsylvania last will and testament form. Web pennsylvania last will and testament template. Web form a last will in pennsylvania. The basic requirements for a pennsylvania last will and testament include the following: Web under pennsylvania law, all wills must be written (oral wills are not considered valid) and signed by the person who is making the will (called the. The testator must be at. Create your last will and testament forms easily from home and in under an hour with findlaw’s guided.

A pennsylvania last will and testament is a legal document used by an. Direct that all my debts, and expenses of my last illness, funeral, and burial, be paid as soon after my death as may be reasonably convenient,. Web pennsylvania last will and testament form. The basic requirements for a pennsylvania last will and testament include the following: Web under pennsylvania law, all wills must be written (oral wills are not considered valid) and signed by the person who is making the will (called the. Web pennsylvania last will and testament template. The testator must be at. Create your last will and testament forms easily from home and in under an hour with findlaw’s guided. Create a high quality document now! Web form a last will in pennsylvania. A pennsylvania last will and testament is a legal document used by an.