Square Root 75 Radical Form

Question Video Simplifying Numerical Expressions Using Properties of

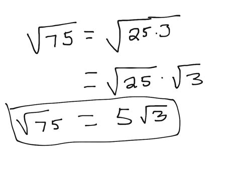
Square Root 75 Radical Form. √52 ⋅3 5 2 ⋅ 3 pull terms out from. Check out the work below for reducing 75 into simplest radical form.

Question Video Simplifying Numerical Expressions Using Properties of
Question Video Simplifying Numerical Expressions Using Properties of

Check out the work below for reducing 75 into simplest radical form. Web calculate the square root √153 1 5 3. Web algebra simplify square root of 75 √75 75 rewrite 75 75 as 52 ⋅3 5 2 ⋅ 3. Calculate the square root √0.25 0. Calculate the square root √75 7 5. Web what is the square root of 75 in simplest radical form? √52 ⋅3 5 2 ⋅ 3 pull terms out from.

√52 ⋅3 5 2 ⋅ 3 pull terms out from. √52 ⋅3 5 2 ⋅ 3 pull terms out from. Check out the work below for reducing 75 into simplest radical form. Web what is the square root of 75 in simplest radical form? Web algebra simplify square root of 75 √75 75 rewrite 75 75 as 52 ⋅3 5 2 ⋅ 3. Web calculate the square root √153 1 5 3. Calculate the square root √0.25 0. Calculate the square root √75 7 5.