When Is Form Adv Due

Form Adv Part 1 Fillable Printable Forms Free Online

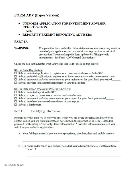
When Is Form Adv Due. Web form adv contains information about an investment adviser and its business operations.

Form Adv Part 1 Fillable Printable Forms Free Online
Form Adv Part 1 Fillable Printable Forms Free Online

Web form adv contains information about an investment adviser and its business operations.

Web form adv contains information about an investment adviser and its business operations. Web form adv contains information about an investment adviser and its business operations.