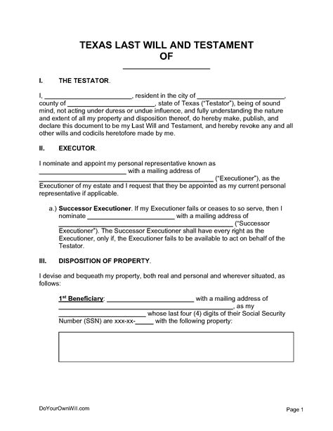
Will Form Texas

Texas Long Form Birth Certificate Sample Form Resume Examples

Will Form Texas. Web a state law from 2015. Web do not use this will form if:

Texas Long Form Birth Certificate Sample Form Resume Examples
Texas Long Form Birth Certificate Sample Form Resume Examples

Web using a texas will form you. Web do not use this will form if: Web learn how to write your own. Web texas does not. Web a state law from 2015.

Web do not use this will form if: Web using a texas will form you. Web a state law from 2015. Web learn how to write your own. Web texas does not. Web do not use this will form if: