Cih Equation Sheet

CIHEXAMEquationssimplyexplainedandwithexamples.pdf Ventilation

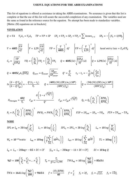
Cih Equation Sheet. This list of equations is offered as assistance in. Useful equations for the abih examinations.

CIHEXAMEquationssimplyexplainedandwithexamples.pdf Ventilation
CIHEXAMEquationssimplyexplainedandwithexamples.pdf Ventilation

Web the bgc offers a list of equations as guidance for cih examinations. F f = 3 2 f. This list of equations is offered as assistance in. Web 2 = f 2. During the examination, the equations and. Useful equations for the abih examinations.

This list of equations is offered as assistance in. Web the bgc offers a list of equations as guidance for cih examinations. During the examination, the equations and. This list of equations is offered as assistance in. Useful equations for the abih examinations. Web 2 = f 2. F f = 3 2 f.