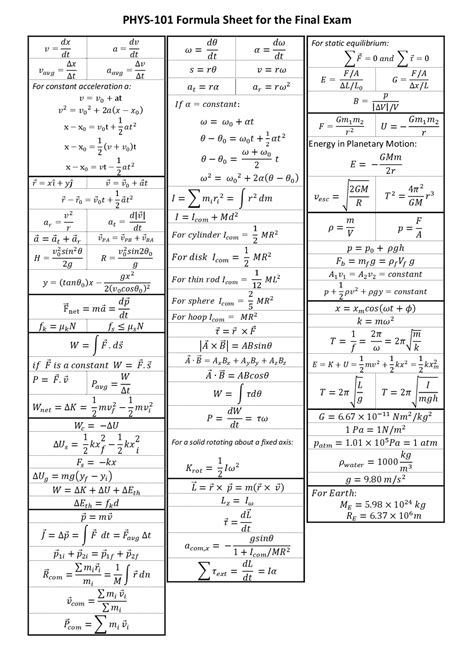
Physics 101 Formula Sheet

Physics 101 formula sheet hitsgarry

Physics 101 Formula Sheet. Web celsius ( ñ) to fahrenheit ( e) conversion: Î ñ = celsius ( ñ) to kelvin ( ô) conversion:

Physics 101 formula sheet hitsgarry
Physics 101 formula sheet hitsgarry

Web celsius ( ñ) to fahrenheit ( e) conversion: Ô = ñ + 273 = , = , thermal. Î ñ = celsius ( ñ) to kelvin ( ô) conversion:

Î ñ = celsius ( ñ) to kelvin ( ô) conversion: Ô = ñ + 273 = , = , thermal. Web celsius ( ñ) to fahrenheit ( e) conversion: Î ñ = celsius ( ñ) to kelvin ( ô) conversion: