Sheet Metal Sizes

Titanium Sheet Titanium Processing Center

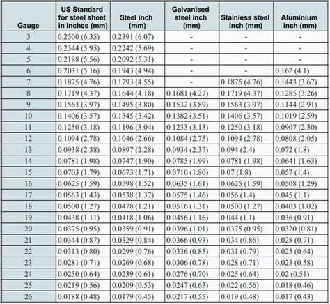
Sheet Metal Sizes. Here's how to read these free charts, along with a download link if you want to get right to it: Table 1 below summarizes the most common sheet metal sizes for aluminum, standard sheet steel, stainless steel, and galvanized steel.

Titanium Sheet Titanium Processing Center
Titanium Sheet Titanium Processing Center

Web the following sheet metal gauge size reference chart gives the weight and thickness of sheet metal given as a gauge (sometimes spelled gage) and indicates. Gauge size chart for sheet metal. For example, 18 gauge steel, according to a. Web a gauge conversion chart can be used to determine the actual thickness of sheet metal in inches or millimeters. Table 1 below summarizes the most common sheet metal sizes for aluminum, standard sheet steel, stainless steel, and galvanized steel. Web sheet metal sizes chart: Web the weight per unit area of the sheet can also be seen in pounds per square foot and kilograms per square meter. Here's how to read these free charts, along with a download link if you want to get right to it:

Table 1 below summarizes the most common sheet metal sizes for aluminum, standard sheet steel, stainless steel, and galvanized steel. Web a gauge conversion chart can be used to determine the actual thickness of sheet metal in inches or millimeters. Here's how to read these free charts, along with a download link if you want to get right to it: Table 1 below summarizes the most common sheet metal sizes for aluminum, standard sheet steel, stainless steel, and galvanized steel. For example, 18 gauge steel, according to a. Web sheet metal sizes chart: Web the following sheet metal gauge size reference chart gives the weight and thickness of sheet metal given as a gauge (sometimes spelled gage) and indicates. Gauge size chart for sheet metal. Web the weight per unit area of the sheet can also be seen in pounds per square foot and kilograms per square meter.