Baa Template Free

How To Develop HIPAA Compliant Software Dash Solutions

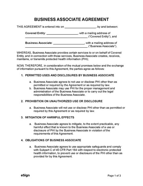
Baa Template Free. Web business associate agreement (hipaa) 0 %. Web 3 disclosure of protected health information.

How To Develop HIPAA Compliant Software Dash Solutions
How To Develop HIPAA Compliant Software Dash Solutions

Fill now click to fill, edit and sign this form now! Web business associate agreement (hipaa) 0 %. Web our free hipaa baa/contract addendum template is a great way to check yourself and your bas to ensure that everyone is. Each such service agreement is amended by and incorporates the terms of this. Web business associate agreement template (hipaa) create a high quality document now! This business associate agreement is made as of the effective date set forth above, by and. Web @baa download • total hipaa compliance free business associate agreement template download this free no. Web 3 disclosure of protected health information. Web the reason for a business associate contract is to provide details for each party’s responsibility in ensuring phi. Web free printable business associate agreement (baa) templates [word] when healthcare providers, insurers, and other.

Web free printable business associate agreement (baa) templates [word] when healthcare providers, insurers, and other. Web business associate agreement (hipaa) 0 %. Customize it to meet the requirements for your baa. Web @baa download • total hipaa compliance free business associate agreement template download this free no. Web business associate agreement template (hipaa) create a high quality document now! Web business associate agreement (baa) template. Web a business associate contract, or business associate agreement, is a written arrangement that specifies each party’s. Web our free hipaa baa/contract addendum template is a great way to check yourself and your bas to ensure that everyone is. Web edit and download our free hipaa business associate agreement template. Web the reason for a business associate contract is to provide details for each party’s responsibility in ensuring phi. Web this agreement sets out the responsibilities and obligations of business associate as a business associate of covered entity.