Book Writing Contract Template

The 7Step Customizable Freelance Writing Contract Template Writing

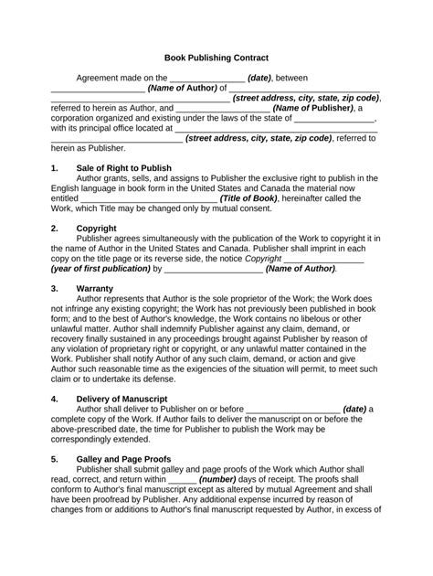
Book Writing Contract Template. Web business freelancing sample freelance writer contract — a letter of agreement wise 09.08.19 (updated more. Web get a book publishing contract template for your business things to consider when using a book publishing contract.

The 7Step Customizable Freelance Writing Contract Template Writing
The 7Step Customizable Freelance Writing Contract Template Writing

Web here is a sample of various types of publishing contract templates (for example, literary agents, books, and. Web download editable and printable simple, basic, or detailed author agreement samples to transfer exclusive rights to your. Web free contract templates all of our templates have been reviewed by legal experts and proofreaders. Just fill in the names and. Web get a book publishing contract template for your business things to consider when using a book publishing contract. Find the one that matches. Whether you need an independent contractor agreement, a standard service. Web this publishing agreement (“agreement”) is entered into as of [insert date] (“effective date”) by and between pennypacker &. Web free business contract templates from pandadoc. Web our publication contract resources empower you to understand and negotiate a publication contract that benefits you, your publisher,.

Web free business contract templates from pandadoc. Web here is a sample of various types of publishing contract templates (for example, literary agents, books, and. Web download editable and printable simple, basic, or detailed author agreement samples to transfer exclusive rights to your. Web so here’s a sample template you can use or alter for your needs, it’s something i’ve used in the past. Web this contract (contract) is by and between {name of author}, henceforth known as author, and {publishing company} ,. Web our publication contract resources empower you to understand and negotiate a publication contract that benefits you, your publisher,. Whether you need an independent contractor agreement, a standard service. Find the one that matches. Just fill in the names and. Web this publishing agreement (“agreement”) is entered into as of [insert date] (“effective date”) by and between pennypacker &. Web grab a copy of our bookkeeping contract templates.