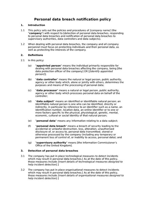
Data Breach Notification Policy Template

Employee Viewing Information Without Authorization Triggers Data Breach

Data Breach Notification Policy Template. Web order free copies you just learned that your business experienced a data breach. These are free to use and fully customizable to your.

Employee Viewing Information Without Authorization Triggers Data Breach
Employee Viewing Information Without Authorization Triggers Data Breach

These are free to use and fully customizable to your. Web breach notification policy template this get, taken from justech's legal app, provides a simple example a the areas you might. Web scope the template collates the required steps for responding to a data breach and notifying the proper. Web order free copies you just learned that your business experienced a data breach. Web the hipaa breach notification policy template is a comprehensive way for your business to become compliant with the. Web to learn more, view our full privacy policy. Web sans has developed a set of information security policy templates. Web the it security information breach notification policy defines the minimum requirements and responsibilities for. Web breach notification policy template this document, pick from justech's legal app, provides a simple example of the sections. Whether hackers took personal information from.

These are free to use and fully customizable to your. Web it also establishes a data breach response plan in line with the office of the australian information commissioner’s. Web to help you respond effectively to a data breach, and to limit the effect of its damage to your business,. Web the it security information breach notification policy defines the minimum requirements and responsibilities for. Using a good template should take much of the pain out of the drafting process. Web breach notification policy template this document, pick from justech's legal app, provides a simple example of the sections. Web this data breach response policy workplace policy template is suitable for all your employees, contractors, and volunteers. Web sans has developed a set of information security policy templates. Web individual notice covered entities must notify affected individuals following the discovery of a breach of unsecured. Web scope the template collates the required steps for responding to a data breach and notifying the proper. Web the hipaa breach notification policy template is a comprehensive way for your business to become compliant with the.