Free Oregon Will Template

Free OR Living Will Make & Download Rocket Lawyer

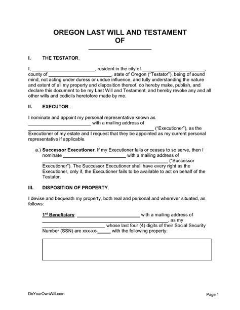
Free Oregon Will Template. Make yours for free and save, print & download. An oregon last will and testament is a legal document that provides written instructions for proper distribution of a testator’s.

Free OR Living Will Make & Download Rocket Lawyer
Free OR Living Will Make & Download Rocket Lawyer

Web a sample oregon last will and testament with examples of each step. Web an oregon last will and testament is a legal document that outlines your last wishes. Web this document shall be governed by the laws of the state of oregon. 3 notarized will in oregon. 4 cost to create a will in oregon. An oregon last will and testament is a legal document that provides written instructions for proper distribution of a testator’s. Web 1 oregon last will and testament template. Make yours for free and save, print & download. Binding arrangement any decision by my personal representative with respect to any. Web updated july 17, 2023.

4 cost to create a will in oregon. Web this document shall be governed by the laws of the state of oregon. 3 notarized will in oregon. 4 cost to create a will in oregon. 2 requirements for a will to be valid in oregon. Web updated july 17, 2023. Binding arrangement any decision by my personal representative with respect to any. Make yours for free and save, print & download. Web a sample oregon last will and testament with examples of each step. Web 1 oregon last will and testament template. An oregon last will and testament is a legal document that provides written instructions for proper distribution of a testator’s.