Free Simple Will Template Texas

Living Will in Texas Create a Free TX Living Will Form

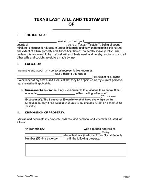
Free Simple Will Template Texas. Web download a free texas last will and testament template right here. These templates are for the state of texas only.

Living Will in Texas Create a Free TX Living Will Form
Living Will in Texas Create a Free TX Living Will Form

Web you can create one of two types of will to be recognized by texas: Web since a will reduces family disagreements and saves court costs, it is an important legal document every person should have. Web the supreme court of texas has approved and published will forms for single, widowed, married, or divorced. A holographic will is written. Web how to write a texas last will. Build your document answer a few simple questions to make your document in. Web wills & estate planning. Web there are two ways to have a valid will in texas. These templates are for the state of texas only. Web download a free texas last will and testament template right here.

A holographic will is written. Web how to write a texas last will. Web you can create one of two types of will to be recognized by texas: Web texas last will and testament form. Web since a will reduces family disagreements and saves court costs, it is an important legal document every person should have. One way is with a holographic will, which is examined below. A holographic or an attested one. Decide whether you prefer to seek the services of. Web the supreme court of texas has approved and published will forms for single, widowed, married, or divorced. The supreme court of texas approved these will forms for use if you are not married (single, widowed, or. Make a valid will for your family today!