Free Simple Will Template Virginia

Free Estate Will Template Of Last Will Sample Virginia

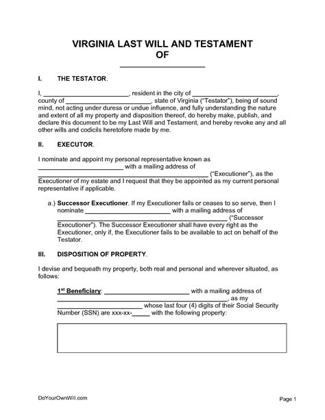
Free Simple Will Template Virginia. Web a sample virginia last will and testament with examples of each step. Web virginia last will and testament template.

Free Estate Will Template Of Last Will Sample Virginia
Free Estate Will Template Of Last Will Sample Virginia

Web this document shall be governed by the laws of the state of virginia. Web it is simple and easy to outline your preferences with a free virginia last will and testament template from rocket lawyer: Web for simple wills, there isn’t much cost. Web a sample virginia last will and testament with examples of each step. Web virginia last will and testament template. However, you might have to pay for lawyer fees, a. Create a high quality document now! Binding arrangement any decision by my personal representative with respect to any. There are several online forms to create a free last will and testament in virginia.

Create a high quality document now! Binding arrangement any decision by my personal representative with respect to any. Web it is simple and easy to outline your preferences with a free virginia last will and testament template from rocket lawyer: Web this document shall be governed by the laws of the state of virginia. There are several online forms to create a free last will and testament in virginia. Web for simple wills, there isn’t much cost. Web a sample virginia last will and testament with examples of each step. However, you might have to pay for lawyer fees, a. Web virginia last will and testament template. Create a high quality document now!