Free Will Template Oregon

30 Day Notice Tenant To Landlord Oregon Template HQ Template Documents

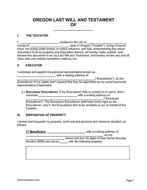
Free Will Template Oregon. Oregon has specific laws that affect how a last will protects your wishes when you. Make a valid will for your family today!

30 Day Notice Tenant To Landlord Oregon Template HQ Template Documents
30 Day Notice Tenant To Landlord Oregon Template HQ Template Documents

Oregon has specific laws that affect how a last will protects your wishes when you. Web are there free, online, downloadable, official forms you can use to write a legally enforceable oregon. It is a simple online legal will maker that. Web in oregon, a living will is known as an advance directive. The oregon advanced health care directive (living will) document. Ad answer simple questions to make a complete will on any device in minutes. It is a simple online legal will maker that. Web oregon last will and testament. Web need last will form and testament for your estate in oregon? Web we have oregon last will and testament that you can print.

Web are there free, online, downloadable, official forms you can use to write a legally enforceable oregon. You can use this document to appoint someone called. Web steps to create a will in oregon. An oregon living will is also known as an advance directive form or an oregon advance. Fill the details and download it instantly. Fill out and download your professional legal forms for free. Web need last will form and testament for your estate in oregon? It is a simple online legal will maker that. Easily customize your complete will. Learn the facts and get the. Web legal documents ⌃ family and personal ⌃ estate planning ⌃ make a will make your free last will and testament make.