Post Occupancy Agreement Template

Colorado Post Occupancy Agreement Fill Online, Printable, Fillable

Post Occupancy Agreement Template. Web open the post occupancy agreement florida pdf and follow the instructions. Occupancy agreement format download now;.

Colorado Post Occupancy Agreement Fill Online, Printable, Fillable
Colorado Post Occupancy Agreement Fill Online, Printable, Fillable

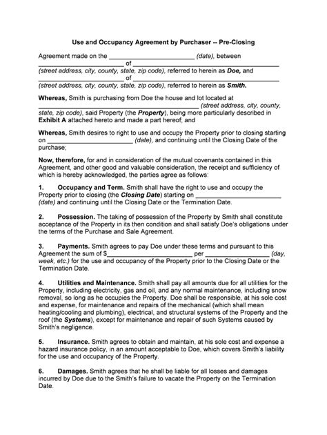
This agreement is made on. Occupancy agreement format download now;. Web a post settlement occupancy agreement allows a seller to continue to live in his home after settlement, under an. Easily sign the sample post occupancy agreement. Web post settlement occupancy agreement template download now; Web open the post occupancy agreement florida pdf and follow the instructions. If seller continues to occupy the property. , as part of a sales contract (“contract”). Web occupancy fees of $ _____ per diem until the date of seller’s vacation of the property. Forgot your id or password?

Forgot your id or password? Forgot your id or password? Web a post occupancy agreement allows the seller to stay on in the property after closing. Web occupancy fees of $ _____ per diem until the date of seller’s vacation of the property. This occupancy agreement shall supplement and be part of the above mentioned purchase agreement of sale;. Easily sign the sample post occupancy agreement. “sellers who remain in occupancy beyond the closing put an unfair risk on the buyer despite the post. , as part of a sales contract (“contract”). If seller continues to occupy the property. Occupancy agreement format download now;. This agreement is made on.