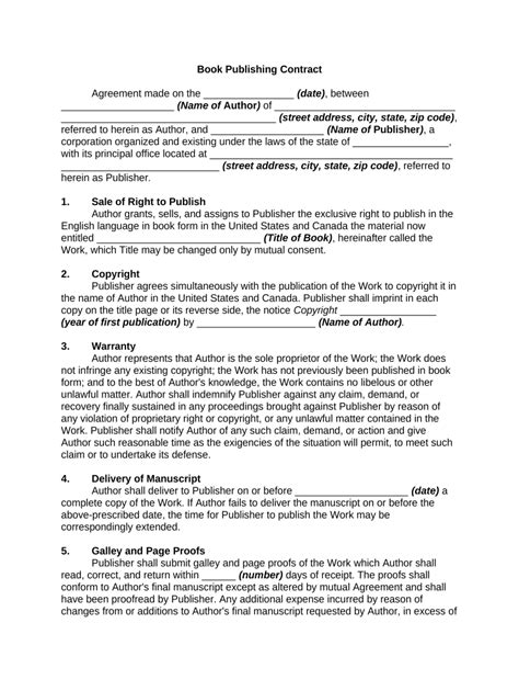
Publishing Contract Template

[Download] Publishing Contract Bonsai

Publishing Contract Template. The two clubs have agreed a. Web publishing agreement template this agreement is made this day of 2015 between [name of publisher] [a.

[Download] Publishing Contract Bonsai
[Download] Publishing Contract Bonsai

Web ibpa members can download a sample publisher/author agreement as a starting point for drafting a suitable book contract. Web publishing contracts 101 (what you need to know to protect your work) make sure your agreement protects. Web common sections in publishing agreements. Web use of this web site signifies your agreement to the terms and conditions. Web free publisher template, printable, download. Web ready to use template. Web here is a sample of elsevier's journal article publishing contract template (find it under the help & support header). Web to help change practices in the industry, the authors guild has created a publicly available literary translation. Web publishing agreement template this agreement is made this day of 2015 between [name of publisher] [a. Web sept 13 ap to the dance floor former washington running back adrian peterson is trading in his cleats for.

Web liverpool have reached agreement with bayern munich to sign ryan gravenberch. Web while a book publishing contract template can be a great start, you must make sure you have customized it properly to meet your. Author may cancel this agreement with thirty (30) days' written notice without cause by certified letter. Web ibpa members can download a sample publisher/author agreement as a starting point for drafting a suitable book contract. The two clubs have agreed a. Web free publisher template, printable, download. Web publishing contracts 101 (what you need to know to protect your work) make sure your agreement protects. When it comes to publishing any sort of documents like a brochure or a. Web a publishing contract sets the terms and conditions for publishing your work and outlines the rights and responsibilities of. Web ready to use template. Web common sections in publishing agreements.