Will Template Mississippi

Mississippi Living Will Form Word Free Printable Legal Forms

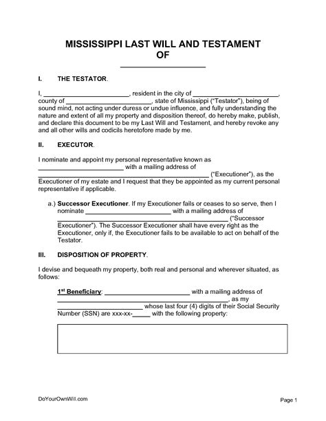
Will Template Mississippi. Web to write a will, mississippi law states you must be at least 18 years old, of sound and disposing mind, must intend the document to be your will and must have the written will. Web to sell and to grant options to purchase all or any part of my estate, both real and personal, at any time, at public or private sale, for.

Mississippi Living Will Form Word Free Printable Legal Forms
Mississippi Living Will Form Word Free Printable Legal Forms

A mississippi last will and. Web to sell and to grant options to purchase all or any part of my estate, both real and personal, at any time, at public or private sale, for. Web to write a will, mississippi law states you must be at least 18 years old, of sound and disposing mind, must intend the document to be your will and must have the written will. Create a high quality document now! Web a mississippi last will and testament (a will) is a legal document that outlines your preferences regarding property distribution after death, such as who will inherit your. Web mississippi last will and testament template.

Create a high quality document now! Web a mississippi last will and testament (a will) is a legal document that outlines your preferences regarding property distribution after death, such as who will inherit your. A mississippi last will and. Web to sell and to grant options to purchase all or any part of my estate, both real and personal, at any time, at public or private sale, for. Web to write a will, mississippi law states you must be at least 18 years old, of sound and disposing mind, must intend the document to be your will and must have the written will. Create a high quality document now! Web mississippi last will and testament template.